- Home
- Companies
- Analytik Jena - an EndressHauser ...
- Articles
- Plastic Makes the Difference: Ideal ...
Plastic Makes the Difference: Ideal Real-time PCR Signals with Optimized Plastic Products
Various microplates are available for quantitative real-time PCR in 96 well format. The main difference is the color, which significantly influences the real-time PCR signal quality and thus the results.
A wide range of microplates from various manufacturers is available for real-time PCR in 96 well format. The major difference between these plates is the color. The plates range from transparent clear to opaque black and white. Transparent clear microplates provide better visibility of the liquids for the user and are therefore more user-friendly. Black plates offer the lowest background noise. In terms of performance, however, white microplates stand out.
Light scattering is greatest in clear plastic resulting in low signal intensity. The white plates show the opposite effect. The plastic amplifies the signals and Ct values of the real-time assays, since the light is reflected in the wells. This has significant benefits for laboratories because they can improve their real-time PCR results by using the optimal plates and foils without additional cost or effort.
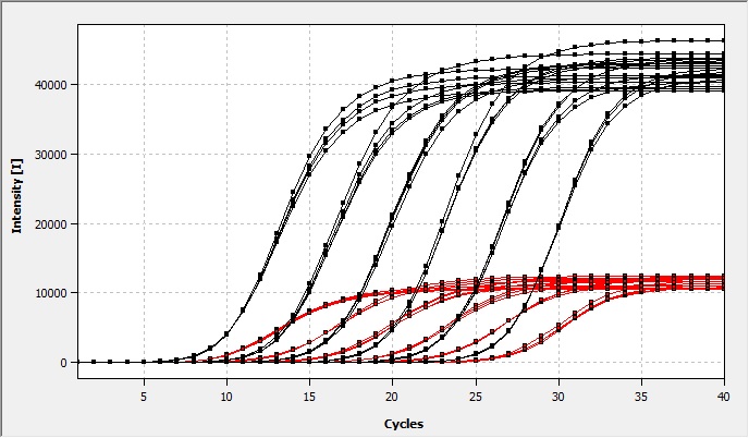
The amplification of gDNA from tobacco should show how color-optimized white microplates can be used to obtain real-time PCR signals that are up to four times better.
A master mix suitable for real-time PCR with an intercalating fluorescent dye from Analytik Jena (innuMIX qPCR MasterMIX SyGreen), tobacco gDNA (1x 106 copies) and tobacco-specific primers (actin genes), water for molecular biological applications and one white and one transparent 96-well microplate with 0.2 ml volume per well were used. The master mix used provides a very special Taq DNA polymerase that requires no additional activation at 95 °C. The master mix also features high-quality dNTPs, optimized MgCl2 concentrations and interpolated fluorescent dyes that do not inhibit real-time PCR. The mix was validated on the most common real-time PCR instruments and can detect any DNA template – genomic, cDNA and viral sequences. The mix is particularly suitable for detecting low DNA amounts, since the proprietary technology prevents the formation of primer dimers and unspecific products, therefore showing increased sensitivity and specificity of the reaction.
Figure 2 shows the amplification plots for a tenfold dilution series of 106 to 101 copies using tobacco gDNA and specific actin gene primers. The fluorescence intensities of the white microplates are more than four times higher compared to the transparent microplates. The white plastics optimize the amount of light returning to the detector. In practice, this means that the intensity and sensitivity of real-time PCR assays are increased. Therefore, even small amounts of DNA – i.e. a low number of copies – can be detected. The Ct values also speak for themselves: Within two cycles, the samples in the transparent microplates show significantly higher values. The white plates therefore also show better performance here.

