- Home
- Companies
- Vaxdyn, S. L.
- News
- The GRAM paper gives face to the AMR ...
The GRAM paper gives face to the AMR crisis - Vaxdyn’s comment about the GRAM paper
The experts of the Anti-Microbial Resistance (AMR) world, including Vaxdyn’s researchers, have been warning about the entrance into a post-antibiotic era or the occurrence of a silent pandemic for years. However, the general public, including health practitioners, did not understand the message or underscored the magnitude of the problem.
Recently, a vast network of AMR experts around the world, including bacteriologists, epidemiologists, data analysts, and public health managers, funded by The Bill & Melinda Gates Foundation, The Wellcome Trust, and the UK government, published in The Lancet what it is known as the GRAM paper*. The GRAM paper is the most comprehensive study about the global incidence of antibiotic-resistant bacteria. The relevance of this study is that finally gives a clear face, based on data, to the AMR crisis. A face that everybody can look at now and rapidly understand the magnitude of the problem.
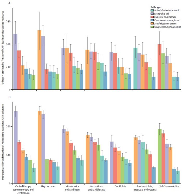
That face says that within a year -the study analyzed 2019, the last pre-pandemic year- almost 5 million people lost their life in the world with a syndrome associated with an infection produced by an antibiotic-resistance bacteria. The killing doubles the official deaths per year due to Covid-19. The most burdensome infectious syndrome, taking alone 1.5 million lives, was pneumonia. Six bacteria alone took 73% of all those lives. The names of the killers are the Gram-negative bacteria Acinetobacter baumannii, Klebsiella pneumoniae, Pseudomonas aeruginosa, and Escherichia coli, and the Gram-positive bacteria Staphylococcus aureus and Streptococcus pneumoniae. There is vaccine available only against one of these killers (S. pneumoniae). The GRAM paper also gives details about the human populations and the regions of the world most severely impacted by the AMR crisis. The paper clearly shows that the crisis is global, though, affecting all of us. This is the loudest scream claiming for help from all stakeholders.


Global burden of bacterial antimicrobial resistance in 2019: a systematic analysis. The Lancet 399:629-655. Pathogen-attributable fraction of death attributable to (A) and associated with (B) bacterial AMR for the six leading pathogens by GBD super-region, 2019. Error bars show 95% uncertainty intervals. AMR=antimicrobial resistance. GBD=Global Burden Diseases, Injuries, and Risk Factors Study.
Our CEO, Dr. Juanjo Infante, explained in an interview published in El País, Spain’s most read daily newspaper, last September, how Vaxdyn is contributing to the fight against AMR by developing vaccines against Acinetobacter baumannii, Klebsiella pneumoniae, and Pseudomonas aeruginosa**. The same newspaper has been attending the problem since then with several articles, including an editorial comment***. The same pattern has been observed in news agencies all over the world.
The publishing of the GRAM paper has been an important milestone in the fight against the AMR crisis. It has given a clearly visible face to the crisis, which is key to take the crisis to a political level, as happened, for instance, with the HIV crisis in the past, ending in the allocation of vast resources in basic R&D and translational R&D to tackle the problem. All AMR stakeholders wait for the same reaction. Let’s do it.
About Vaxdyn
Vaxdyn is dedicated to improving quality of life in populations affected by infections globally. Vaxdyn’s vision is to create specific immunity in high-risk populations against the most antibiotic resistant bacterial pathogens. Headquartered in Seville, Spain, Vaxdyn works with an international network of collaborators in the development of multi-pathogen vaccines for preventing infections in individuals affected by chronic diseases of the lungs, liver, kidney, immunocompromised by several co-morbidities such as diabetes or cancer, and populations associated with nursing homes and hospital settings. Vaxdyn is strongly committed to contribute to reducing antibiotic use in the world by following a One-Health approach.
