- Home
- Companies
- Aalto Scientific, Ltd.
- Products
- Aalto - Model EC 2.6.1.2 - Alanine ...
Aalto - Model EC 2.6.1.2 -Alanine Transaminase (ALT/GPT/SGPT)
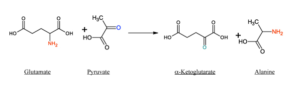
Alanine Transaminase (ALT) is known by multiple names including: Alanine Aminotransferase, Glutamate-Pyruvate Transaminase (GPT), and Serum Glutamate-Pyruvate Transaminase (SGPT).

The reaction catalyzed by ALT requires the cofactor pyridoxal-5-phosphate (P5P), the active form of vitamin B6. P5P binds covalently but reversibly to an active-site lysine. This helps catalyze the reaction by accepting the amino group from the amino acid then transferring it to the carbonyl compoundi. Any sample, whether serum or purified extract, to which P5P is added may show a marked increase in ALT activity if some or all of the enzyme does not already have the cofactor bound to it.
Under normal conditions ALT is found in most tissues and fluids of the body except urine. The most important source of ALT is the liver2. An increased serum level of ALT is a very valuable marker of liver injury. AST is another aminotransferase found in the liver that is often measured together with ALT, although considered less specific for liver pathologies than ALT3. A wide variety of conditions can result in elevated serum ALT including most forms of hepatitis, liver carcinoma (both primary and metastatic) and more variably, liver cirrhosis2. Serum ALT can also be markedly elevated in patients with alcoholic fatty liver disease4. More recently ALT has been shown to be a useful predictor of recurrence of liver cancer after surgery in cancers associated with hepatitis C5. Elevated serum ALT has also been shown to be a good predictor for response to interferon alpha therapy for those co-infected with HBV and HIV5. While ALT is a very versatile marker for liver pathologies, it does have its limits. It’s rarely specific, and there are many cases of liver pathology without a corresponding increases in serum ALT7,8,9. Measuring ALT is usually done by an indirect enzymatic method. There are no useful spectrophotometric changes that occur during the transamination reaction. However a very useful and versatile technique is to couple a product of a reaction to another enzymatic reaction that either reduces or oxidizes NAD+/NADH respectively. There are many such reactions. Reduction of NAD+ results in an increase in absorption at 340 nm. Oxidation of NADH results in the opposite effect. In the case of ALT, the product pyruvate can be very conveniently coupled to the lactate dehydrogenase reaction. This results in the oxidation of NADH and the ALT-LDH coupled reaction is followed by monitoring the decrease in absorbance at 340 nm.
ADULT REFERENCE RANGE3:
< 45 U/L (male)
< 34 U/L (female)
