- Home
- Companies
- Pfizer Inc.
- Products
- Acetylcysteine - Mucolytic Agent
Acetylcysteine - Mucolytic Agent
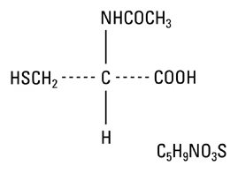
Acetylcysteine solution is for inhalation (mucolytic agent) or oral administration (acetaminophen antidote), and available as sterile, unpreserved solutions (not for injection). Acetylcysteine is the N-acetyl derivative of the naturally occurring amino acid, L-cysteine. Chemically, it is N-acetyl-L-cysteine.
The compound is a white crystalline powder which melts at 104°−110°C and has a very slight odor. The structural formula for acetylcysteine is as follows:
Molecular weight: 163.19
Each mL of the 10% solution contains acetylcysteine 100 mg; edetate disodium, dihydrate 0.25 mg.
Each mL of the 20% solution contains acetylcysteine 200 mg; edetate disodium, dihydrate 0.5 mg.
The solutions also contain sodium hydroxide and may contain hydrochloric acid for pH adjustment, pH 7.0 (6.0 to 7.5). Acetylcysteine Solution, USP is oxygen sensitive.
CLINICAL PHARMACOLOGY
The viscosity of pulmonary mucous secretions depends on the concentrations of mucoprotein and to a lesser extent deoxyribonucleic acid (DNA). The latter increases with increasing purulence owing to the presence of cellular debris. The mucolytic action of acetylcysteine is related to the sulfhydryl group in the molecule. This group probably "opens" disulfide linkages in mucous thereby lowering the viscosity. The mucolytic activity of acetylcysteine is unaltered by the presence of DNA, and increases with increasing pH. Significant mucolysis occurs between pH 7 and 9.
Acetylcysteine undergoes rapid deacetylation in vivo to yield cysteine or oxidation to yield diacetylcystine.
Occasionally, patients exposed to the inhalation of an acetylcysteine aerosol respond with the development of increased airways obstruction of varying and unpredictable severity. Those patients who are reactors cannot be identified a priori from a random patient population. Even when patients are known to have reacted previously to the inhalation of an acetylcysteine aerosol, they may not react during a subsequent treatment. The converse is also true; patients who have had inhalation treatments of acetylcysteine without incident may still react to a subsequent inhalation with increased airways obstruction. Most patients with bronchospasm are quickly relieved by the use of a bronchodilator given by nebulization. If bronchospasm progresses, the medication should be discontinued immediately.
- Acetylcysteine is indicated as adjuvant therapy for patients with abnormal, viscid, or inspissated mucous secretions in such conditions as:
- Chronic bronchopulmonary disease (chronic emphysema, emphysema with bronchitis, chronic asthmatic bronchitis, tuberculosis, bronchiectasis and primary amyloidosis of the lung)
- Acute bronchopulmonary disease (pneumonia, bronchitis, tracheobronchitis)
- Pulmonary complications of cystic fibrosis
- Tracheostomy care
- Pulmonary complications associated with surgery
- Use during anesthesia
- Post-traumatic chest conditions
- Atelectasis due to mucous obstruction
- Diagnostic bronchial studies (bronchograms, bronchospirometry, and bronchial wedge catheterization)
- Acetylcysteine is contraindicated in those patients who are sensitive to it.
