- Home
- Companies
- Thermo Fisher Scientific, LIMS & ...
- Products
- Gibco CTS OpTmizer - Model Pro SFM - ...
Gibco CTS OpTmizer - Model Pro SFM -Serum Free Medium
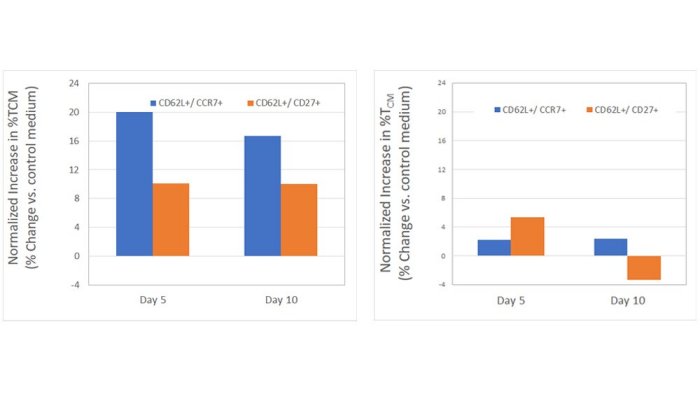
Gibco CTS OpTmizer Pro SFM is a novel medium, developed for the growth and expansion of human T lymphocytes (e.g., CD4+, CD8+, polyclonal cells, or antigen specific T cells) used in allogeneic cell therapies. CTS OpTmizer Pro SFM improves central memory phenotype and cell growth by shifting the cell’s metabolism. The result is a larger population of central memory cells in a shorter period of time.
- Serum-free and xeno-free medium
- Supports high density cultures in static cultures
- New Aegis5-14 film and bag design allows compatibility with closed systems
- Supports T-cell activation using Dynabeads magnetic beads, soluble antibodies, and stimulatory antibody-presenting cell protocols
- Maintains central memory T cells further into expansion, which is well suited for longer workflows (>15 days)
- Modest increases in central memory cells at early stage in the expansion protocol result in larger cell yields at harvest
- Capable of achieving the same number of cells in a shorter duration
- Ideally suited to the production of allogeneic therapies

Figure 1. Cells from 6 healthy donors were expanded in CTS OpTmizer Pro SFM. Cells were assessed at day 17. Improved growth that became more pronounced over time was observed as indicated by an average increase of 187%. With the improved growth, there was no difference in cell viability.

Thermo Scientific Aegis5-14 Film allows compatibility with closed systems.
Thermo Scientific Aegis5-14 Film is a five-layer cast film produced in a cGMP facility. The outer layer is a polyester elastomer coextruded with an ethyl vinyl alcohol (EVOH) barrier layer and an ultra-low-density polyethylene product contact layer. Aegis5-14 Film is manufactured using no animal derived components.
